I know O/L sets stuff and Some More. But I don't understand How to Solve These Kind of Questions
Need help on Set Theory
Need help on Set Theory
Please Help me to Understand Set Theory.
I know O/L sets stuff and Some More. But I don't understand How to Solve These Kind of Questions
I know O/L sets stuff and Some More. But I don't understand How to Solve These Kind of Questions
Re: Need help on Set Theory
First one
Here A is defined as all numbers x and y such that x^2+y^2=17. Also it is given that x and y are natural numbers, which means that x and y can only be numbers from zero to positive infinity(remember that infinity is not a number).
Notice that x and y are in ordered pairs (x,y). So (x,y) and (y,x) are two different elements of the set. That is (x,y)=(y,x) if and only if x=y.
For and example 1^2+4^2=17. Hence x=1 and y=4 . So you can get two elements easily which are (1,4) and (4,1).
Then we can write A={(1,4),(4,1)} intersection {rest of the elements of A}
Try to find the rest of the elements and the answer for the first question. i hope that thing are clear and any corrections are welcome.
I will try answering the rest soon. Now I am at the boarding. Although I have brought my notebook, internet access is a problem.
Here A is defined as all numbers x and y such that x^2+y^2=17. Also it is given that x and y are natural numbers, which means that x and y can only be numbers from zero to positive infinity(remember that infinity is not a number).
Notice that x and y are in ordered pairs (x,y). So (x,y) and (y,x) are two different elements of the set. That is (x,y)=(y,x) if and only if x=y.
For and example 1^2+4^2=17. Hence x=1 and y=4 . So you can get two elements easily which are (1,4) and (4,1).
Then we can write A={(1,4),(4,1)} intersection {rest of the elements of A}
Try to find the rest of the elements and the answer for the first question. i hope that thing are clear and any corrections are welcome.
I will try answering the rest soon. Now I am at the boarding. Although I have brought my notebook, internet access is a problem.
Re: Need help on Set Theory
Thanks Friend. You have a Good Teaching Ability Like Neo,Enigma,Magneto and Saman and like all the other ROBOT.LK Members.
I will read this Again and Answer Rest Tomorrow Since I am Sleepy Now. And it's 10PM.
Buy Just looking at your Explanation I got some understanding(That's Why I told you you have a Good Teaching Ability ). I will be very clear with these after I read this well tomorrow. Now I am Loosing my Fear for Math For Computing Exam in BIT.
Thanks for Helping Me
I will read this Again and Answer Rest Tomorrow Since I am Sleepy Now. And it's 10PM.
Buy Just looking at your Explanation I got some understanding(That's Why I told you you have a Good Teaching Ability ). I will be very clear with these after I read this well tomorrow. Now I am Loosing my Fear for Math For Computing Exam in BIT.
Thanks for Helping Me
Re: Need help on Set Theory
I will try answering last one too now. It seems very easy.
I hope that you know what mutually exclusive means. The given two events A and B can never occur together. For an instance, say that a couple is going to have a baby. This baby can be either male or female but not both. So, "the event of new born baby is a male" and "the event of new born baby is a female" are mutually exclusive because they cannot occur together.
Then Pr(A and B)=0 (Because A and B cannot occur together)
Then we have to use de morgan's law.
(A' intersection B')=(A union B)'
Then,
Pr(A' intersection B')=Pr(A union B)'=1-Pr(A union B)=1-{Pr(A)+Pr(B)-Pr(A intersection B)}
Pr(A' intersection B')=1-Pr(A)-Pr(B) (Since A and B are mutually exclusive)
Also, Pr(A)=1-Pr(A')
then,
Pr(A' intersection B')=1-{1-Pr(A')}-Pr(B)
Pr(A' intersection B')=Pr(A')-Pr(B)
Substituting values,
3/8=5/8-Pr(B)
Pr(B)=2/8=1/4
Read and check before accepting as it is. I might have made mistakes.
I hope that you know what mutually exclusive means. The given two events A and B can never occur together. For an instance, say that a couple is going to have a baby. This baby can be either male or female but not both. So, "the event of new born baby is a male" and "the event of new born baby is a female" are mutually exclusive because they cannot occur together.
Then Pr(A and B)=0 (Because A and B cannot occur together)
Then we have to use de morgan's law.
(A' intersection B')=(A union B)'
Then,
Pr(A' intersection B')=Pr(A union B)'=1-Pr(A union B)=1-{Pr(A)+Pr(B)-Pr(A intersection B)}
Pr(A' intersection B')=1-Pr(A)-Pr(B) (Since A and B are mutually exclusive)
Also, Pr(A)=1-Pr(A')
then,
Pr(A' intersection B')=1-{1-Pr(A')}-Pr(B)
Pr(A' intersection B')=Pr(A')-Pr(B)
Substituting values,
3/8=5/8-Pr(B)
Pr(B)=2/8=1/4
Read and check before accepting as it is. I might have made mistakes.
Re: Need help on Set Theory
Here is the Rest. I could only FindHerath wrote:First one
Try to find the rest of the elements and the answer for the first question.
(4,1),(1,4)
Re: Need help on Set Theory
Thanks Friend
But I still didn't get these Calculations.
Mostly
But I still didn't get these Calculations.
things1-
Then,
Pr(A' intersection B')=Pr(A union B)'=1-Pr(A union B)=1-{Pr(A)+Pr(B)-Pr(A intersection B)}
Pr(A' intersection B')=1-Pr(A)-Pr(B) (Since A and B are mutually exclusive)
Also, Pr(A)=1-Pr(A')
then,
Pr(A' intersection B')=1-{1-Pr(A')}-Pr(B)
Pr(A' intersection B')=Pr(A')-Pr(B)
Substituting values,
3/8=5/8-Pr(B)
Pr(B)=2/8=1/4
Re: Need help on Set Theory
if A is an event from an event space S, It is obvious that S=A union A'.
that is ,S equals to the union of A and the things that does not belong to A. And from axioms of probability, Pr(S)=1
Which means Pr(A union A')=1
Pr(A)+Pr(A')-Pr(A and A')=1
Since A and complement of A are mutually exclusive,
Pr(A)+Pr(A')=1

[ Post made via Mobile Device ]
that is ,S equals to the union of A and the things that does not belong to A. And from axioms of probability, Pr(S)=1
Which means Pr(A union A')=1
Pr(A)+Pr(A')-Pr(A and A')=1
Since A and complement of A are mutually exclusive,
Pr(A)+Pr(A')=1
[ Post made via Mobile Device ]

Re: Need help on Set Theory
Herath wrote:if A is an event from an event space S, It is obvious that S=A union A'.
that is ,S equals to the union of A and the things that does not belong to A. And from axioms of probability, Pr(S)=1
Which means Pr(A union A')=1
Pr(A)+Pr(A')-Pr(A and A')=1
Since A and complement of A are mutually exclusive,
Pr(A)+Pr(A')=1
[ Post made via Mobile Device ]
Oops It's a Probability Questions
Thanks for Helping friend. I can see you are using your Mobile phone to answer these and It cost you more than Ordinary ADSL connection.
Re: Need help on Set Theory
Just another addition to Herath's explanation on question 1...First one
Here A is defined as all numbers x and y such that x^2+y^2=17. Also it is given that x and y are natural numbers, which means that x and y can only be numbers from zero to positive infinity(remember that infinity is not a number).
Notice that x and y are in ordered pairs (x,y). So (x,y) and (y,x) are two different elements of the set. That is (x,y)=(y,x) if and only if x=y.
For and example 1^2+4^2=17. Hence x=1 and y=4 . So you can get two elements easily which are (1,4) and (4,1).
Then we can write A={(1,4),(4,1)} intersection {rest of the elements of A}
Try to find the rest of the elements and the answer for the first question. i hope that thing are clear and any corrections are welcome.
I will try answering the rest soon. Now I am at the boarding. Although I have brought my notebook, internet access is a problem.Herath wrote:First one
Try to find the rest of the elements and the answer for the first question.
Here is the Rest. I could only Find
(4,1),(1,4)
There are two sets...
A = {(x,y)| x,y ?N and x2 + y2 = 17}
B = {(x,y)| x,y ?N and x + y = 5}
So the question is to find A ? B which is read as A intersection B,
Let's name a new set C where C = A ? B.
Based on the above definition for A and B, we can define C as below.
C = {(x,y)| x,y ?N and x2 + y2 = 17 AND x + y = 5}
Notice the 'AND' I put to denote the intersection. If it was ? (Union) I would put OR instead of AND.
Okay. Now, we can solve the equation.
x + y = 5
y = (5 - x) ------[EQ1]
Now we are going to substitute y to the other equation.
x2 + (5 - x)2 = 17
x2 + 25 - 10x + x2 = 17
2x2 - 10x + 25 = 17
2x2 - 10x + 8 = 0
x2 - 5x + 4 = 0 -------------[EQ2]
This is in the form of a quadratic equation.
ax2 + bx + c = 0
In our equation,
a = 1
b = -5
c = 4
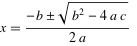
We can take the value of x when our equation is in the form of quadratic equation using quadratic formula as given below.
x = (-(-5) ± ?((-5)2 - 4x1x4)) / 2x1
x = (5 ± ?(25 - 16)) / 2
x = (5 ± ?(9)) / 2
x = (5 ± 3) / 2
x = 8/2 OR x = 2 / 2
x = 4 OR x = 1
From EQ1,
y = 1 if x = 4 OR y = 4 if x = 1
In other words, the two possible elements are (4, 1), (1, 4)
? C = A ? B = {(4, 1), (1, 4)}
In this way you can solve any type of similar question. Just simple Algebra.
Re: Need help on Set Theory
i expected that nipuna would try to find the answer for the first one.that is why i didnt post a complete answer. 
[ Post made via Mobile Device ]
[ Post made via Mobile Device ]




