I am a student of Kingswood college, Kandy and planing to appear for A/L under the mathematical stream this year. It would be very much appreciated if you could kindly explain me how to design a Boiler for a given dimensions and presure as I have heard through one of my friend that the Boiler is a very dangerous component.
Thanks.
Mangala.
Design a Boiler
- MangalaKingswood
- Posts: 2
- Joined: Thu Feb 04, 2010 10:49 pm
Re: Design a Boiler
Dear Friend ,
It is very important to design a boiler correctly , as they can blast , if you are not design the boiler wall thickness correctly. So I will explain the theory behind the boiler design.
If you consider any small square in boiler surface , two type of stresses are acting on it as shown in the above figure.
(1) Longitudinal stress ( Sigma_L) (2) Hoop Stress ( Sigma_H).
So all the parts of the boiler wall are in equilibrium under the forces , which are creating from the above two stresses.
So basic principal behind boiler design is the permissible stress of the material , you are going to select for fabricate the boiler must be higher than those Longitudinal and Hoop Stresses. ( For any Pressure).
So first we have to calculate the Longitudinal and Hoop Stresses for given Pressure , Given thinkness and Given Radius.
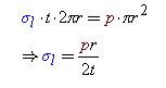
Longitudinal Stress Calculation
From Newton's first law of motion
Hoop Stress Calculation The free body is in static equilibrium. According to Newton's first law of motion, the hoop stress can be calculated as So according to two equations , we can say
Hoop Stress = Longitudinal Stress * 2
So if you desingn the boiler for Hoop Stress , It will never fail with the Longitudinal Stress .
Boiler Thinkness Calculation
In Hoop Stress equation apply the values for P (maxium pressure which Boiler is designed) , r (Radius of the Boiler) and
Sigma_H ( Permissible stress of the material you select to fabricate the Boiler) and find the value for t ( Boiler Wall Thickness).
So thickness of the sheet metal you select to fabricate the Boiler should be higher than this calculated thickness value.
If you design the Boiler by selecting the thickness of the material as describe above , Boiler is safe up to design Pressure.
Three Welding Joints of the Boiler
Any boiler should consisting of atleast three welding joints. One is in Longitudinal direction and other two are for
two end plates. So permissible stresses of those welding joints also should higher than the Hoop Stress.
Note :
Always put some safety margin for the calculated values.
Any problem , please let us know
Good Luck !
It is very important to design a boiler correctly , as they can blast , if you are not design the boiler wall thickness correctly. So I will explain the theory behind the boiler design.
If you consider any small square in boiler surface , two type of stresses are acting on it as shown in the above figure.
(1) Longitudinal stress ( Sigma_L) (2) Hoop Stress ( Sigma_H).
So all the parts of the boiler wall are in equilibrium under the forces , which are creating from the above two stresses.
So basic principal behind boiler design is the permissible stress of the material , you are going to select for fabricate the boiler must be higher than those Longitudinal and Hoop Stresses. ( For any Pressure).
So first we have to calculate the Longitudinal and Hoop Stresses for given Pressure , Given thinkness and Given Radius.
Longitudinal Stress Calculation
From Newton's first law of motion
Hoop Stress Calculation The free body is in static equilibrium. According to Newton's first law of motion, the hoop stress can be calculated as So according to two equations , we can say
Hoop Stress = Longitudinal Stress * 2
So if you desingn the boiler for Hoop Stress , It will never fail with the Longitudinal Stress .
Boiler Thinkness Calculation
In Hoop Stress equation apply the values for P (maxium pressure which Boiler is designed) , r (Radius of the Boiler) and
Sigma_H ( Permissible stress of the material you select to fabricate the Boiler) and find the value for t ( Boiler Wall Thickness).
So thickness of the sheet metal you select to fabricate the Boiler should be higher than this calculated thickness value.
If you design the Boiler by selecting the thickness of the material as describe above , Boiler is safe up to design Pressure.
Three Welding Joints of the Boiler
Any boiler should consisting of atleast three welding joints. One is in Longitudinal direction and other two are for
two end plates. So permissible stresses of those welding joints also should higher than the Hoop Stress.
Note :
Always put some safety margin for the calculated values.
Any problem , please let us know
Good Luck !
- MangalaKingswood
- Posts: 2
- Joined: Thu Feb 04, 2010 10:49 pm
Re: Design a Boiler
Many thanks for giving me a solid answere for my misterious question that I've been unable to get a correct answer for couple of years previously. The way you people explained such a huge engineering design for people like us, was much much impressive. Thanks a lot for your help Sir/Madam. I would very much like to contact you near future. All the best and Good luck to all the people in Expertcore that share their prestigeous knowledge with students like us.
Mangala from Kandy
Mangala from Kandy
Re: Design a Boiler
Hi Mangala,
Thanks for the good wishes. The vision of ROBOT.LK is to support people like you with technical matters by sharing our knowledge and experience.
Magneto (aka Chaminda) is our Mechatronics expert who has qualified with a BS in Mechanical Engineering and MS in Electronics Engineering from University of Moratuwa. He has an extensive hands on experience for years in the field of Mechatronics particularly in Control Systems & Robotics.
At ROBOT.LK, an expert with both theoretical and practical background always answers questions. Otherwise the question will be left without an answer. So if you have any question related to the fields we discuss, you are welcome to post them in the relevant category. It's a pleasure for us to participate in distributing knowledge as you are the people who take over the country in future.
Spread the message of ROBOT.LK among your friends !!!!
Good luck for the boiler!
Best Regards,
Neo
Thanks for the good wishes. The vision of ROBOT.LK is to support people like you with technical matters by sharing our knowledge and experience.
Magneto (aka Chaminda) is our Mechatronics expert who has qualified with a BS in Mechanical Engineering and MS in Electronics Engineering from University of Moratuwa. He has an extensive hands on experience for years in the field of Mechatronics particularly in Control Systems & Robotics.
At ROBOT.LK, an expert with both theoretical and practical background always answers questions. Otherwise the question will be left without an answer. So if you have any question related to the fields we discuss, you are welcome to post them in the relevant category. It's a pleasure for us to participate in distributing knowledge as you are the people who take over the country in future.
Spread the message of ROBOT.LK among your friends !!!!
Good luck for the boiler!
Best Regards,
Neo


